Registrácia
|
Prihlásiť
Univerzity
Kategórie
Rozšírené vyhľadávanie
Ekonomická univerzita v Bratislave
Obchodná fakulta
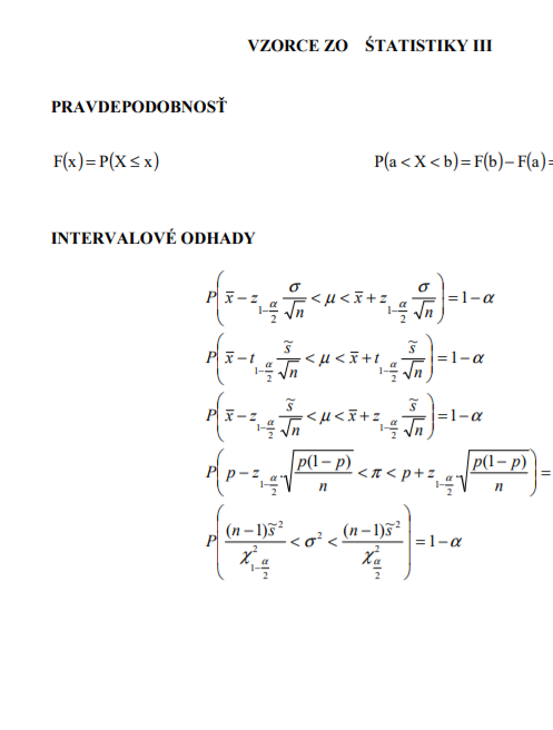
Študijný materiál: Vzorce zo štatistiky - intervalové odhady, testovanie hypotéz
Skryť detaily
|
Obľúbený
Kvalita:
72,7 %
Typ:
Študijný materiál
Univerzita:
Ekonomická univerzita v Bratislave
Fakulta:
Obchodná fakulta
Kategória:
Prírodné vedy
Podkategória:
Matematika
Predmet:
Štatistika
Autor:
radka11
Ročník:
1. ročník
Rozsah A4:
2 strán
Zobrazené:
3 034 x
Stiahnuté:
1 x
Veľkosť:
0,1 MB
Formát a prípona:
PDF dokument (.pdf)
Jazyk:
slovenský
ID projektu:
10321
Posledna úprava:
14.11.2018
Tento súbor obsahuje vzorce a niekoľko hypotéz ktoré sú spracované v tabuľkách.
Kľúčové slová:
pravdepodobosť
intervalové odhady
hypotézy
testovanie hypotéz
štatistika
vzorce
alternatívna hypotéza
kritická oblasť
Hodnotenie (0x):