Registrácia
|
Prihlásiť
Univerzity
Kategórie
Rozšírené vyhľadávanie
Študijný materiál: Ekonomická analýza podniku - vzorce na 1. zápočet
Skryť detaily
|
Obľúbený
Kvalita:
74,2 %
Typ:
Študijný materiál
Kategória:
Ekonomika
Podkategória:
Ekonomická teória
Predmet:
Ekonomická analýza podniku
Ročník:
3. ročník
Rozsah A4:
1 strán
Zobrazené:
2 140 x
Stiahnuté:
7 x
Veľkosť:
0,1 MB
Formát a prípona:
MS Office Word (.doc)
Jazyk:
slovenský
ID projektu:
11919
Posledna úprava:
14.07.2019
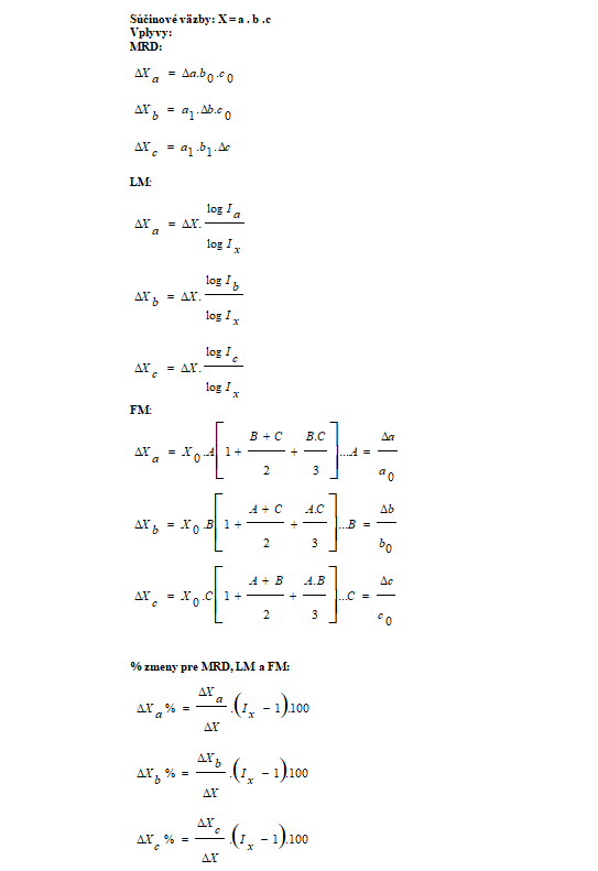
Vzorce na 1. zápočet z predmetu
Ekonomická analýza podniku
Kľúčové slová:
tradičná analýza tržieb
trhovo orientovaná analýza tržieb
vzorce
ekonomická analýza podniku
vzorce
súčinové väzby
podielové väzby
Hodnotenie (0x):