Registrácia
|
Prihlásiť
Univerzity
Kategórie
Rozšírené vyhľadávanie
Trenčianska univerzita Alexandra Dubčeka v Trenčíne
Fakulta mechatroniky
Meranie: Meranie odporov
Skryť detaily
|
Obľúbený
Kvalita:
77,9 %
Typ:
Meranie
Univerzita:
Trenčianska univerzita Alexandra Dubčeka v Trenčíne
Fakulta:
Fakulta mechatroniky
Kategória:
Technika
Podkategória:
Elektrotechnika
Predmet:
Elektronika
Ročník:
2. ročník
Rozsah A4:
7 strán
Zobrazené:
3 676 x
Stiahnuté:
10 x
Veľkosť:
0,2 MB
Formát a prípona:
MS Office Word (.doc)
Jazyk:
slovenský
ID projektu:
1394
Posledna úprava:
23.07.2015
Úlohy:
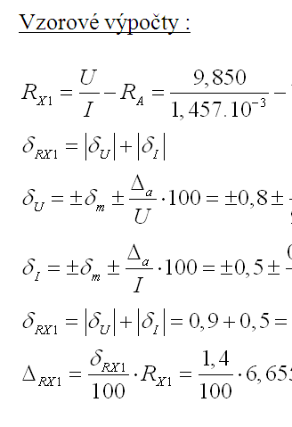
1. Zmerajte predložené vzorky odporov priamou metódou.
2. Zmerajte predložené vzorky odporov V/A metódou.
3. Zmerajte predložené vzorky odporov porovnávacou metódou.
4. Zmerajte predložené vzorky odporov Wheatstonovým mostíkom.
Kľúčové slová:
odpor
Wheatstonový mostík
porovnávacia metóda
voltmeter
merací prístroj
odporový normál
celková chyba
korekcia voltmetra
spotreba
Hodnotenie (0x):