Registrácia
|
Prihlásiť
Univerzity
Kategórie
Rozšírené vyhľadávanie
Dubnický technologický inštitút v Dubnici nad Váhom
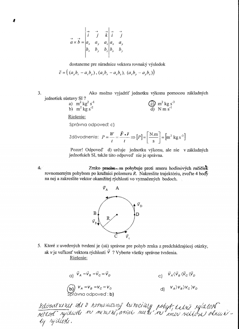
Vypracované otázky: Fyzika - vypracované príklady
Skryť detaily
|
Obľúbený
Kvalita:
68,7 %
Typ:
Vypracované otázky
Univerzita:
Dubnický technologický inštitút v Dubnici nad Váhom
Kategória:
Prírodné vedy
Podkategória:
Fyzika
Predmet:
Fyzika
Autor:
emmaus
Ročník:
1. ročník
Rozsah A4:
30 strán
Zobrazené:
4 421 x
Stiahnuté:
58 x
Veľkosť:
7,6 MB
Formát a prípona:
Archív súborov (.rar)
Jazyk:
slovenský
ID projektu:
20594
Posledna úprava:
08.03.2009
Sken vypracovaných príkladov z fyziky
Kľúčové slová:
testy
príklady
Hodnotenie (0x):