Registrácia | Prihlásiť

Výpočet: Teória fázových premien - príklad

Skryť detaily | Obľúbený
Náhľady Náhľady
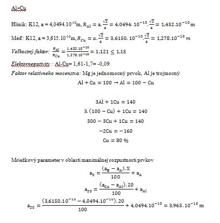
Príklad. Vypočítajte pre uvedené sústavy: C+Fe,Ni+Co, Al+Cu, Ni+Nb.
• Aké typy tuhých roztokov sa budú vytvárať
• Maximálne rozpustnosti v týchto sústavách
• Podľa Vegardovho pravidla vypočítajte a graficky znázornite zmentu mriežkového parametra ax pre koncentrácie v oblasti max. rozpustonsoti
Hodnotenie (0x):