Registrácia
|
Prihlásiť
Univerzity
Kategórie
Rozšírené vyhľadávanie
Žilinská univerzita v Žiline
Elektrotechnická fakulta
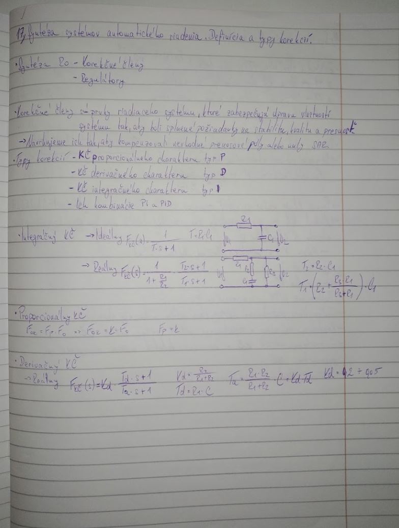
Vypracované otázky: Teória Automatického Riadenia - teória ku skúške
Skryť detaily
|
Obľúbený
Kvalita:
76,9 %
Typ:
Vypracované otázky
Univerzita:
Žilinská univerzita v Žiline
Fakulta:
Elektrotechnická fakulta
Kategória:
Technika
Podkategória:
Telekomunikácie
Predmet:
Teória automatickeho riadenia
Študijný program:
Automatizacia
Autor:
studyindustrial
Ročník:
2. ročník
Rozsah A4:
27 strán
Zobrazené:
429 x
Stiahnuté:
0 x
Veľkosť:
2,8 MB
Formát a prípona:
Archív súborov (.zip)
Jazyk:
slovenský
ID projektu:
48569
Posledna úprava:
19.11.2024
Vypracované otázky ku skúške
Kľúčové slová:
Teória automatického riadenia
vypracované otázky
skúška
Hodnotenie (0x):