Registrácia
|
Prihlásiť
Univerzity
Kategórie
Rozšírené vyhľadávanie
Trenčianska univerzita Alexandra Dubčeka v Trenčíne
Fakulta špeciálnej techniky
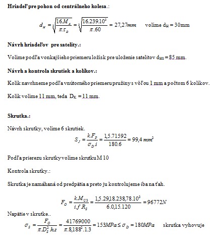
Projekt: Návrh planetového reduktora
Skryť detaily
|
Obľúbený
Kvalita:
82,5 %
Typ:
Projekt
Univerzita:
Trenčianska univerzita Alexandra Dubčeka v Trenčíne
Fakulta:
Fakulta špeciálnej techniky
Kategória:
Technika
Podkategória:
Strojárstvo
Predmet:
Konštruovanie častí a mechanizmov strojov
Autor:
kikinmiskog
Ročník:
3. ročník
Rozsah A4:
33 strán
Zobrazené:
1 656 x
Stiahnuté:
8 x
Veľkosť:
0,6 MB
Formát a prípona:
Archív súborov (.rar)
Jazyk:
slovenský
ID projektu:
9532
Posledna úprava:
14.08.2018
Projekt obsahuje kontrolne výpočty, súpis položiek, postup montáže, zostavu a detailny vykres satelitu a hriadela nakreslenych v programe Solid Edge
Kľúčové slová:
planetový reduktor
pevnostné výpočty
hydromotor
momentová analýza
mechanizmus
lamelová brzda
ťažné lano
Hodnotenie (0x):